e
l
c
o m
e
to b
o r n n e t . c o m
![]()

THAI
VERSION
![]()
BORNNETCORPORATION CO.,LTD.
|
Bornnet Corporation Company Ltd, is a producer , importer
, exporter and distributor of for industry chemicals , including
food additives to enchance flavour , colors and seasoning.
Our products also include sweeteners , substance to increase
stickiness and thickness , as well as those that replicate food
tastes. Our range also takes in tapioca flour , modified
starch and substances used in variety of foodstuffs including
ice creams , juices , dairy products , frozen food , canned
food , instant noodles , jams and cold drinks. At Bornnet we are currently expanding our markets. Our existing specialties are still available in a variety of fields for product development. We are also expanding to include importation of other industrial chemicals for use in the textile , water treatment and other industries , making us a supplier to many industrial factories in Thailand.
|
|
|
|
|
|
|
|
|
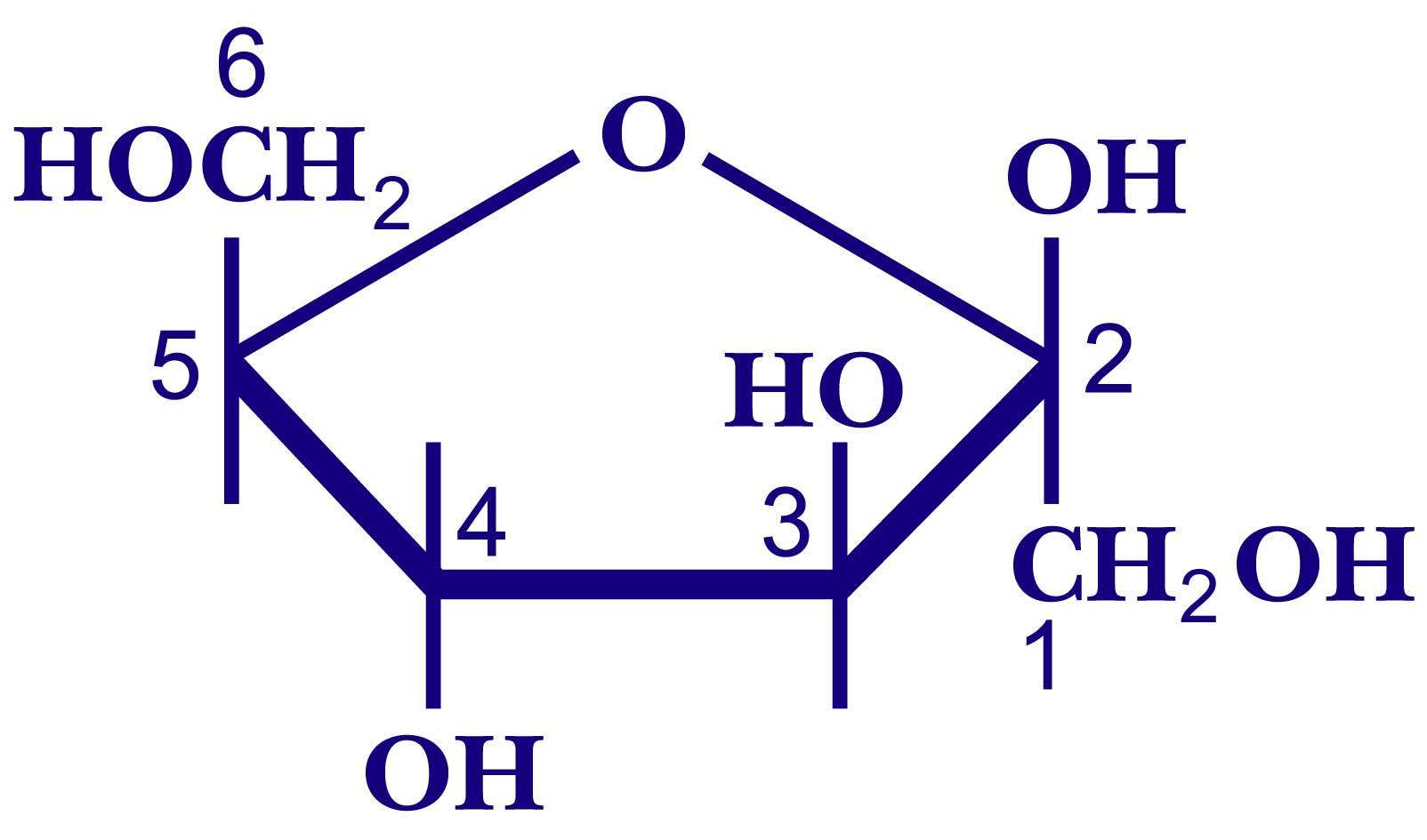
Fructose – A sweetener that is a monosaccharide found naturally in fresh fruit and honey. It is obtained by the inversion of sucrose by means of the enzyme invertase and by the isomerization of corn syrup. It is 130 to 180 in sweetness range as compared to sucrose at 100 and is very water soluble . It is used in bakes goods because it reacts with amino acids to produce a browning reaction. It is used as a nutritive sweetener in low-calorie beverages. It is also termed levulose and fruit sugar. |